基因解码导读
什么是基因检测北斗定位技术?基因检测的北斗定位技术是中国自主创新的基因定位技术,它具有将结构与功能结合的特点,是基因解码核心技术体系之一。基因信息的北斗定位技术推动了基因信息的应用从基因检测到基因解码和基因矫正的升级换代。
基因信息北斗定位技术的创新性
基因检测北斗定位技术更正确地说是基因信息的北斗定位技术。他是在基因检测的GPS定位技术的基础上发展而来,是为了满足基因解码对基因结构与功能的描述而产生的。基因检测定位技术,通俗的说是基因检测GPS定位技术,主要包括两个参数。一基因的位置,即基因是位于染色体上,还是在细胞核上。第二个参数是基因核苷酸的位置。有了这两个参数后,就可以进行基因检测。得到基因检测的结果可以和数据库比对,明确基因序列的变化了。但是基因检测的实际暴露了它的局限性,基因检测数据库无法包含所有病人的变异序列。其二是,基因检测得到的人的变异序列无法得到正确的生物学、医学及临床意义解释。其三:基因检测选择位点数量的随意性与基因信息使用的正确性、更多性的要求不相符。基因检测的发展为自己掘好了坟墓,催生了基因解码的新生。
基因信息北斗定位的三维参数
基因解码对基因信息的革命首先源自于对基因信息的描述的定位。与基因检测的二级线性定位不一样。基因解码认为基因信息自身存在着三维立体特性。同时,基因解码也描述了为什么每一个细胞都有同样的一份完整的基因信息,而人体不组织的细胞具有不同的形状、结构和功能。更为惊奇的是,同一个组织,同一种组织在人体发育的不同阶段也有着不同的形状、结构和功能。根据基因解码的理论,虽然每一个细胞内的基因的一维基因信息是一样的,但是基因的三维信息是不同的。基因解码在对基因检测进行颠覆的过程中,首先颠覆基因信息的描述方式,即在基因检测的GPS定位基础上,提出基因信息的碱基组成的三维描述、双螺旋结构的三维描述,进而采用基因组的立体结构描述。只有采用基因信息北斗定位的三维描述参数标准,基因信息的应用过程中才能构建基因信息与蛋白质相互作用的机制、描述基因信息与细胞内外环境的相互作用模型,理解和应用基因信息的使用对外界环境的反应性。揭示基因信息的决定作用与环境影响之间的关系。

基因解码对组成基因信息的基本单位进行立体编码定位

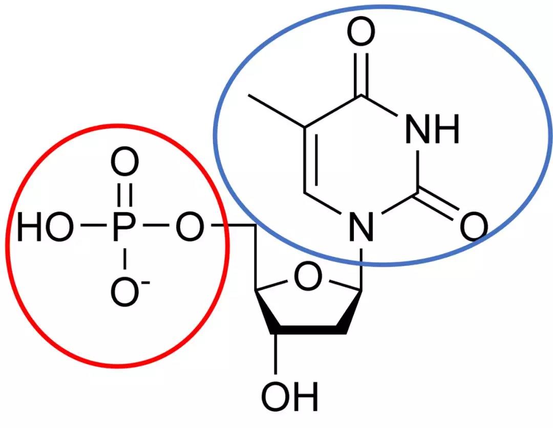
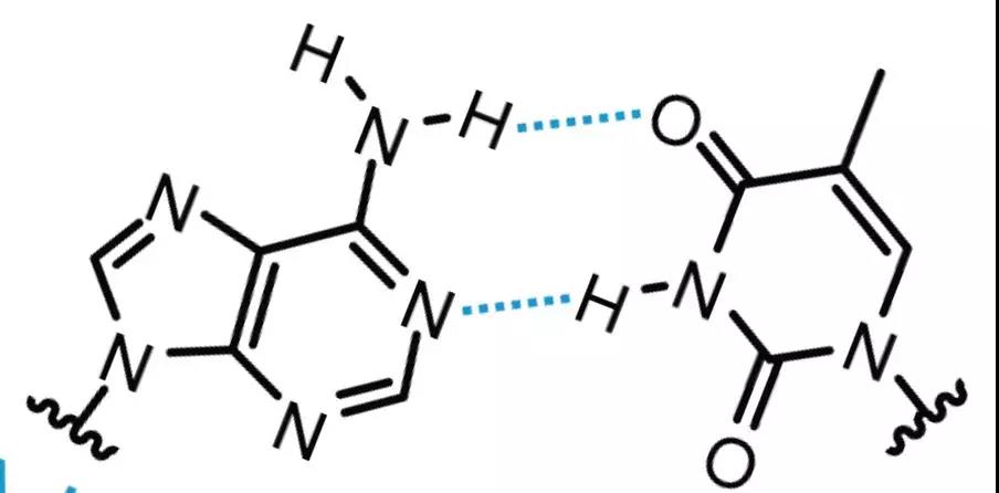
基因解码对碱基对进行立体编码定位,而基因检测采用单碱基字母描述基因信息,放弃了基因碱基因的立体属性

基因信息物质的三维立体属性:基因信息的物质基础是DNA,但是DNA不仅仅是由四个字母来描述的DNA链条,它还是一个有着立体结构特点的三维物质。这个三维立体特性是基因解码的科学基础之一。它与基因检测中的唯数据库的观点是明显不同的。
基因信息北斗定位的时空特异性
基因突变的镶嵌现象在基因解码技术体系中解释了父母都不携带有致病基因而孩子会患病的根本原因。也解决了为什么体细胞突变产生的疾病却遗传到后代的一系列基因检测无法解释的现象。正是由于基因突变的镶嵌现象使得很多肿瘤的发生部位和影响器官具有一定的随意性和偶然性。使得很多疾病的发生和临床表征与经典的疾病模型不相符合。
基因信息北斗定位的组织特异性
在佳学基因做视网膜母细胞瘤致病基因鉴定基因解码的李文亮的孩子多多罹患视网膜母细胞瘤。采用常规基因检测技术,进行一代测序、二代测序都未发现多多的基因序列中有RB突变。同样,李文亮及其妻子的全基因测序也未发现可以导致疾病发生的基因序列变化。佳学基因采用基因解码技术,分析了基因突变的组织细胞分布地图,不仅揭示了多多罹患视网膜母细胞瘤的必然原因,也清楚地揭示出多多存在生育风险,即多多的后代后产生携带有RB基因突变的孩子。结婚生育的过程中需借助健康宝贝基因解码技术才能尽力做到生育健康。
基因信息北斗定位的开放性
- 明确新发突变的组织器官特异性;
- 明确体细胞突变的遗传风险;
- 更为正确地揭示肿瘤反复风险;
- 区分肿瘤转移和肿瘤反复的内在原因,让肿瘤的个性化治疗更有针对性。
基因信息北斗定位对基因检测的否定和提升
请致电4001601189,结合个人情况,获得基因解码咨询师的专业帮助。
更多基因信息定位技术与基因检测的正确性探讨文章
【佳学基因检测】什么是基因检测GPS定位技术?
【佳学基因检测】什么是基因检测北斗定位技术?!
- 【佳学基因检测】什么是MLPA基因检测?有什么优点?...
- 【佳学基因检测】如何将全基因组测序(WGS)基因检测数据定位到人的标准基因组上?...
- 【佳学基因检测】FISH基因检测中的探针类型选择...
- 【佳学基因检测】肿瘤基因检测生物信息分析注意事项...
- 【佳学基因检测】癌症基因组检测要点:一定要知道!...
- 【佳学基因检测】什么是基因组检测?...
- 【佳学基因检测】TP53突变基因检测...
- 【佳学基因检测】基因解码对Y染色体的进一步解密...
- 【佳学基因检测】肿瘤基因检测需要包括重复或反复区域的分析吗?...
- 【佳学基因检测】如何采用液体活检检进行细胞学检测与NGS测序...
- 【佳学基因检测】临床科研服务:GWAS课题中的统计分析...
- 【佳学基因检测】肿瘤靶向药物Regorafenib (Stivarga) 及其在结直肠癌治疗中的作用...
- 【佳学基因检测】ALDOA的群体遗传学结果对基因检测正确性的影响...
- 【佳学基因检测】SLC25A4的双生子遗传学分析结果简介...
- 【佳学基因检测】ASIC1的分子遗传学分析成果...
- 【佳学基因检测】ANXA6分子病理学成果概要...
- 【佳学基因检测】检验科医师晋升考试关于ADRA2C的知识...
- 【佳学基因检测】医学院硕士研究考试关于ACVR2A基因检测的知识要点...
- 【佳学基因检测】医学博士ANK1基因检测的知识结构准备...
- 【佳学基因检测】医学院专升本关于ADCYAP1R1基因检测的基本技能...
- 【佳学基因检测】病例分析会中需要知道的关于ACLY基因的知识...
- 【佳学基因检测】病案讨论中需要知道的关于AIF1的知识...
- 【佳学基因检测】质谱基因检测AGTR2基因存在基因突变该怎么理解?...
- 【佳学基因检测】飞行质谱基因检测发现ADRA2A有突变,严重吗?...
- 【佳学基因检测】核型分析发现NAT1突变了,是什么意思?...
- 【佳学基因检测】遗传学检测结果指出ALOX15突变,该找谁咨询?...
- 【佳学基因检测】高精度基因检测为什么包含ADD1基因?...
- 【佳学基因检测】基因检测包中为什么一定要有ACTA2基因?...
- 【佳学基因检测】基因检测时查看是否包含ADH1C重要吗?...
- 【佳学基因检测】NR0B1基因间序列存在突变是否需要阻断遗传?...
- 来了,就说两句!
-
- 贼新评论 进入详细评论页>>