【佳学基因检测】阿尔茨海默病(阿尔茨海默病(AD))的基因检测位点
1991年,Pericak-Vance及其同事在19q染色体上发现了一种与阿尔茨海默病(AD)相关的变异,并发现了载脂蛋白E(APOE)基因的变异,这些变异可能增加或降低典型的晚发型阿尔茨海默病的风险。APOE基因有三种常见的等位基因形式:ε2、ε3和ε4。研究发现,ε4等位基因与阿尔茨海默病(阿尔茨海默病(AD))的风险增加相关,而ε2等位基因则被认为具有保护作用。这项研究还验证了关联研究的有效性,通过比较阿尔茨海默病(阿尔茨海默病(AD))患者与健康对照者(病例对照设计)两组的等位基因和基因型频率来进行分析(见框1)。
自从发现APOE变异与阿尔茨海默病(阿尔茨海默病(AD))的关联已有30多年,研究表明,阿尔茨海默病(阿尔茨海默病(AD))表现出高度的异质性,许多基因变异对发病风险的影响较小(属于多基因遗传)。APOE基因的病例对照关联设计取得了成功,并且由于招募患有和未患病阿尔茨海默病(AD)的个体较为便捷,促进了大量研究使用这种方法,识别北美、欧洲和亚洲人群中的其他遗传风险因素。随着基因组技术的进步,病例对照方法得到了进一步扩展,现在包括了单核苷酸多态性(SNP)的全基因组基因分型,以及外显子组测序(WES)和全基因组测序(WGS)。这些分析不仅可以关注与SNP或基因变异的关联,也可以通过汇总基因内多个变异的影响来评估与基因关联的总体证据。随着WGS成本的快速下降,以及大型国家和国际合作的展开,遗传研究现已包括来自数十万甚至一百万名参与者的样本。过去三年中,研究通过这种方法确定了70多种与阿尔茨海默病(AD)相关的遗传变异(见图1)。这些变异大多是在非西班牙裔白人群体中发现的,主要来源于欧洲和美国,因此可能不适用于非白人及/或西班牙裔群体。因此,目前的研究结果可能无法完全解释非洲、亚洲、中东及中美洲和南美洲人群的遗传风险。此外,许多针对非白人群体的研究规模较小,研究结果仍需要进一步验证以确认其可靠性。

根据Bellenguez等人的研究绘制了曼哈顿图,展示了在非西班牙裔白人群体中已鉴定出的与阿尔茨海默病相关的基因位点。P值来自固定效应荟萃分析的双侧原始P值。全基因组显著性阈值(P = 5 × 10^−8)用红色虚线表示,而全基因组显著性的提示性阈值(P = 1 × 10^−5)则用黑色虚线表示。基因座命名为与每个基因座中最接近的哨兵变异相对应的基因。Bellenguez等人新发现的基因座用红色表示,而之前报告的基因座则用浅蓝色和深蓝色标示。
多基因风险评分提供了一种定量方法来综合多种变异的影响,并且已被证明是在存在许多不同变异且个体影响较小的情况下定义遗传风险的重要工具。多基因风险评分已在流行病学队列中进行了评估,以估计以人群为基础的环境中风险因素的影响,其中病例数反映了人口发病率。在非西班牙裔白人中发现的 阿尔茨海默病(AD) 相关遗传变异的多基因风险评分与 tau-PET 积累速度更快有关。
移民、多样性与血统
在人类进化的数千年历史中,迁徙和地理人口事件一直存在,并塑造了现有人群的遗传多样性。不同人群之间等位基因频率和常见等位基因的连锁不平衡程度差异巨大,这些差异会显著影响遗传变异与性状和疾病之间的关联。从近四十年前通过全球人类线粒体DNA序列推断出的系统发育分析表明,解剖学上现代人类起源于非洲,随后逐步向外扩展。大约160,000至110,000年前,撒哈拉以南非洲是人类种群之间最大分裂的发生地。在过去的十年里,古人类和其他原始人类基因组的测序研究表明,拥有较大非洲血统的个体比拥有较小非洲血统的个体表现出更少的连锁不平衡。这是因为在整个人类进化史上,生活在非洲的种群保持了较大的有效种群规模,并且比其他种群拥有更多的基因重组机会。相比之下,过去5万到10万年间从非洲迁出的种群,其遗传模式截然不同,遗传多样性较低,杂合度逐渐降低,祖先等位基因频谱趋于平缓,这与距离非洲的地理距离和创始事件瓶颈密切相关。这些历史事件导致具有较高非洲血统的个体比具有较低非洲血统的个体展现出更高的遗传多样性。在大多数基因组研究中,个体通常通过主成分分析分配到不同的遗传祖先类别,主成分分析是一种多元方法,旨在通过民族生物学起源和亲缘关系来描述个体和种群的遗传背景。
图 2. 根据基因组数据推断人类迁徙的时间线和路线。

图 2. 根据基因组数据推断人类迁徙的时间线和路线。虚线表示仍有争议的迁徙路线。CA,中安纳托利亚;FC,新月沃地;IP,伊比利亚半岛;kyr,千年;PCS,庞蒂克-里海草原。
这些祖先差异会影响基因型风险的评估。尽管不同人群中存在一些遗传标记与疾病之间的关联——为疾病风险的共同遗传基础提供了重要证据——但从一个祖先群体开发出来的遗传风险预测模型在应用于其他祖先群体时,效果通常不佳。常见变异可以在全球范围内共享,但罕见变异通常由密切相关的群体共享,且可能仅限于特定大陆的群体。大约10万年前,离开非洲并在世界其他地区定居的一小群人类只携带了非洲变异的一小部分。因此,全球各地的人群可能拥有包括在非洲迁徙过程中出现的变异的基因组。迁移的时间段和个体数量将决定特定人群的非洲血统程度。然而,留在非洲的人类遗传变异子集只能在高度非洲血统的个体中进行研究。
非裔美国人和西班牙裔群体是美国最大的非欧洲混血群体,分别占总人口的12.6%和16.3%。第一批非洲人于17世纪初作为奴隶被带到北美,直到1865年美国国会废除奴隶制。这些群体的变异数量变化程度大致与个体基因组中近期非洲血统的比例成正比。因此,对于混血人群,整体遗传疾病风险可能由多种祖先背景组合而成的遗传变异决定。对于具有非洲血统的混血群体,了解本土非洲个体的阿尔茨海默病(阿尔茨海默病(AD))风险至关重要。
对APOE及其他与阿尔茨海默病(AD)遗传关联的影响
在大多数针对非欧洲血统个体的遗传学研究中,参与者自我报告其血统,研究人员会对祖先异质性(即由于遗传祖先背景导致的人口分层)进行统计校正或使用主成分分析等方法进行调整。从对非洲裔和西班牙裔个体的研究来看,已经发现了与祖先相关的显著差异,特别是在阿尔茨海默病(AD)的遗传结构中。与非西班牙裔白人相比,非洲裔个体的APOE ε4相关的阿尔茨海默病(AD)风险较低,而日本裔个体的风险则较高。初步证据表明,这种风险差异可能是由APOE ε4基因座处DNA的祖先来源(即当地遗传血统)驱动的。APOE ε4氨基酸编码序列在不同血统的人群之间并不一致,因此,与APOE ε4相关的基因型风险变异的来源可能在于影响基因表达的调控区域。事实上,在对阿尔茨海默病(AD)患者的大脑进行尸检研究中,欧洲血统的个体大脑中APOE的表达水平明显高于非洲血统的个体。
使用按主成分进行群体分层的非洲裔个体全基因组研究已经确定了多个与祖先特异性风险变异相关的基因,包括ABCA7和ACE等。在ABCA7基因中,一个44 bp的缺失与非裔美国人的阿尔茨海默病(AD)密切相关,这种缺失也存在于加勒比地区的西班牙裔个体中,后者已知具有较高比例的非洲血统(41.8%)。功能研究表明,这种祖先特异性缺失可能导致神经元中毒性淀粉样蛋白β(Aβ)的产生增加,并降低小胶质细胞清除Aβ的能力,从而使其成为潜在的治疗靶点。ABCA7中的其他罕见截短和剪接改变变异则会增加非西班牙裔白人群体的阿尔茨海默病(AD)风险。
表1.在非洲裔美国人的 阿尔茨海默病(AD) GWAS 中确定的P值≤10 −7的基因位点
|
SNP |
位点定位 (hg38) | 最近基因 | 次要等位基因 | 次要等位基因频率 |
| rs115684722 | 1:23,224,0417 | SIPA1L2 | T | 0.003 |
| rs2633682 | 3:104,690,364 | ALCAM | A | 0.338 |
| rs168193 | 3:5,260,392 | EDEM1 | G | 0.267 |
| rs145848414 | 5:174,587,111 | NSG2/MSX2 | A | 0.0416 |
| rs184179037 | 5:37,483,838 | WDR70 | T | 0.0008 |
| rs7748513 | 6:41,160,234 | TREM2 a | A | 0.459 |
| rs112404845 | 7:51,510,325 | COBL | T | 0.01 |
| rs569584007 | 11:43,145,292 | API5 b | G | 0.0023 |
| rs115816806 | 11:76,830,796 | ACER3 | G | 0.0083 |
| rs75739461 | 12:18,318,612 | PIK3C2G | A | 0.0151 |
| rs9516245 | 13:93,507,547 | GPC6 | C | 0.0189 |
| rs570487962 | 15:97,449,455 | ARRDC4/IGF1R | C | 0.0008 |
| rs79537509 | 16:8,238,399 | RBFOX1 a | A | 0.007 |
| rs115550680 | 19:1,050,421 | ABCA7 a | G | 0.0681 |
| rs157591 | 19:44,920,677 | APOE a | A | 0.1422 |
| rs3745495 | 19:50,021,075 | VRK3 c | G | 0.0877 |
P值截止值≤10 −7表示基因座提示具有全基因组显著性。GWAS,全基因组关联研究;hg38,人类基因组参考联盟版本 38;MAF,次要等位基因频率;SNP,单核苷酸多态性。
a.在非西班牙裔白人中也观察到了该基因
b.与在非西班牙裔白人中观察到的CELF1/SPI1基因座相距 5 Mb,但没有连锁不平衡。
c.与非西班牙裔白人中观察到的CD33相距 1.7 Mb,但没有连锁不平衡。
据报道,来自不同地区和血统的早发性阿尔茨海默病(阿尔茨海默病(AD))患者存在APP、PSEN1和PSEN2突变,这些突变已在多个群体中得到确认,包括北欧和南欧人群、中东和阿拉伯人群、加勒比地区西班牙裔人群、拉丁美洲人群、北部和南部非洲人群、澳大利亚和新西兰人群,以及包括中国、韩国、台湾、日本、印度和马来西亚在内的一系列亚洲人群。尽管一些变异在不同人群中共享,但大多数变异是特定祖先群体所特有的。
非洲
国际阿尔茨海默病协会关于撒哈拉以南非洲痴呆症的报告描述了该地区痴呆症的现状,并总结了与人口老龄化相关的趋势。需要注意的是,在撒哈拉以南非洲的46个国家中,只有少数国家具备痴呆症研究和临床护理的能力。非洲大陆主要由低收入到中等收入国家组成,预计到2030年,非洲的阿尔茨海默病(AD)患病率将达到约350万,到2050年将增至760万。尽管已有一些研究专注于非洲阿尔茨海默病(AD)的流行病学,但对非洲阿尔茨海默病(AD)基因组学的研究仍处于起步阶段。
几项关于非洲早发性阿尔茨海默病(AD)的候选基因研究发现了先前在非西班牙裔白人群体中已知的阿尔茨海默病(AD)相关基因变异,如APP、PSEN1、PSEN2和TREM2等。APOE ε4等位基因对阿尔茨海默病(AD)风险的影响也已在具有非洲血统的不同人群中得到研究。一项摩洛哥研究对17名散发性阿尔茨海默病(AD)患者和8名家族性早发性阿尔茨海默病(AD)患者进行了APP外显子16和17的测序,发现外显子17中有七个新的移码突变和一个新的剪接突变。类似的靶向研究也对摩洛哥家族性和散发性阿尔茨海默病(AD)患者进行了PSEN1和PSEN2的研究,发现PSEN1中有一个新移码突变,PSEN2中有两个新移码突变。
在突尼斯的一项研究中,对200名患有痴呆症的个体和300名认知健康的个体进行了血管疾病相关基因多态性的调查,发现APOE、血管紧张素转换酶(ACE)和对氧磷酶1(PON1)基因的多态性与痴呆症有关,尽管这些变异与阿尔茨海默病(AD)之间的具体关联尚未被研究。
APOE仍然是非洲裔个体中研究最多的阿尔茨海默病(AD)基因。它与非西班牙裔白人群体的阿尔茨海默病(AD)风险显著相关,因此成为全球研究的重点。最早对居住在纽约市的非裔美国人进行的APOE研究未发现其与阿尔茨海默病(AD)的关联,但后来在印第安纳波利斯的非裔美国人和尼日利亚伊巴丹的约鲁巴人中,研究发现APOE ε4等位基因与阿尔茨海默病(AD)的发病率相关。在约鲁巴人中,APOE ε4的纯合型(而非杂合型)是阿尔茨海默病(AD)的重要风险因素,这表明该变异对非洲裔个体的影响低于对非西班牙裔白人的影响。
有报道称,非洲裔血统的个体患APOE ε4相关阿尔茨海默病(AD)的风险低于非西班牙裔白人,这引发了更多针对血统的研究,并探索可能降低非洲裔血统APOE ε4风险的基因变异。在一项非洲裔美国人的研究中,APOE ε4等位基因与SNP rs10423769之间的统计学相互作用得到了发现,随后,研究人员在一个大型波多黎各人群和约鲁巴人群中重复了这一结果。该研究发现,rs1042369_A等位基因与APOE ε4纯合子的阿尔茨海默病(AD)风险降低约70%相关。这个非洲血统特异性基因座位于APOE基因座2Mb处,可能成为进一步研究的潜在治疗靶点。
拉美
拉丁美洲现有居民的血统源自美洲原住民、欧洲人和非洲人群的混合,不同血统的比例因地区而异。拉丁美洲的这种历史人口结构使得遗传关联研究更加复杂,因为各国甚至各地区之间的祖先差异较大。据估计,拉丁美洲60岁及以上的成年人中约8.5%患有痴呆症,且到2040年,该地区的痴呆症患病率预计将增加至400%,增幅超过西欧和北美的预测。
在加勒比西班牙裔个体中,APP、PSEN1和PSEN2突变已被发现与早发性阿尔茨海默病(AD)相关。此外,在哥伦比亚混合人群中,发现了PSEN1的错义变体(NM_000021.3: c.1247T>C p.Ile416Thr),该变体源自非洲单倍型,并在一个大型哥伦比亚家族中发现了PSEN1的280密码子变体(PSEN1 E280A)。随后,针对携带此变体的个体进行了II期临床试验,测试单克隆抗体(crenezumab)对Aβ1-40和Aβ1-42的抗单体及聚集效果,虽然研究未发现具有统计学意义的治疗效果,但在认知、脑成像和生物标志物结果上显示出向良好结果发展的趋势。
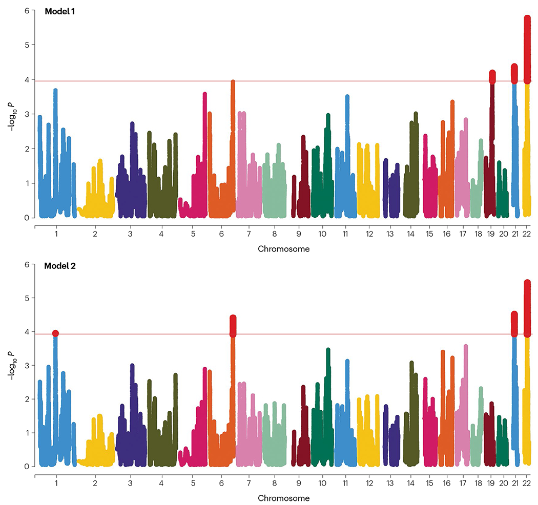
与非西班牙裔白人相比,加勒比西班牙裔人群中APOE ε4纯合型对阿尔茨海默病(AD)风险的影响较小,而杂合型中的风险则没有增加。全基因组关联研究(GWAS)发现了与阿尔茨海默病(AD)相关的基因位点,诸如PICALM、CLU、BIN1、MS4A基因簇、CD33、CD2AP、ABCA7和EPHA1等。在WES或WGS研究中,还发现了许多其他基因中的罕见阿尔茨海默病(AD)相关变异,例如TREM2、SORL1、PINX1、PGL2、ABI3、PTK2B和AKAP9等。一项研究使用混合图谱对大量加勒比西班牙裔参与者进行了分析,发现了与阿尔茨海默病(AD)相关的祖先区块,位于1、6、21和22号染色体上。精细映射结果优先关注了22号染色体上的GCAT基因,该基因在独立数据集中得到复制,并在人类死后组织以及果蝇和斑马鱼模型中进行的功能研究表明,GCAT的炎症反应与淀粉样蛋白毒性相关,GCAT表达降低会加剧阿尔茨海默病(AD)病理。

图 3. 加勒比地区西班牙裔个体的阿尔茨海默病混合图。在 阿尔茨海默病(AD)mixMap 中进行的分析的曼哈顿图。模型 1(上图)针对年龄、性别、基因型批次、人口分层的主成分和亲属关系进行了调整。模型 2(下图)还针对APOE基因型进行了调整。红色突出显示的部分表示经过多重测试校正后确定的祖先区块显著。
还观察到了遗传相互作用的证据。在墨西哥人中,APOE ε4 等位基因和SORL1变体的存在暗示可能存在增加 阿尔茨海默病(AD) 风险的遗传相互作用 。PSEN1 基因 ( E280A )的单一突变是世界上最大的常染色体显性 阿尔茨海默病(AD) 家族的病因,该家族位于哥伦比亚的安蒂奥基亚。该突变几乎 100% 渗透 阿尔茨海默病(AD)。值得注意的是,这个哥伦比亚家族的一名成员直到 70 多岁才摆脱认知障碍。她还携带两个APOE ε3 Christchurch (R136S) 突变的副本,这表明APOE ε3 等位基因的纯合性可能具有保护作用。
东亚
中国可能是世界上 阿尔茨海默病(AD) 患者数量最多的国家。根据最近的荟萃分析,痴呆症的患病率为中国南方的 4.8%、中部的 5.2%、北方的 5.5% 和西部的 7.2%;但并非所有地区都进行了调查。东亚有三个主要民族:汉族、日本人和朝鲜族。与许多其他人群一样,在这三个民族的家族性早发性 阿尔茨海默病(AD) 患者中均发现了APP、PSEN1和PSEN2的突变 。此外,候选基因研究和 GWAS 已经在几个基因中或附近发现了 阿尔茨海默病(AD) 风险变异,而其他民族的这些基因也包含 阿尔茨海默病(AD) 风险变异。这些基因包括APOE、SORL1、SORCS1、TREM2、BIN1、CLU、MS4A4E/MS4A6A、CD33、PICALM、DAPK1、UNC5C、CNTNAP2、SHARPIN和KCNJ15。在中国汉族个体中,TREM2 p.H157Y 变异在一项靶向测序研究中的优势比达到 11.01 ,在一项对 7,000 多名 阿尔茨海默病(AD) 患者和 7,400 名健康对照参与者的荟萃分析中的优势比达到 ~3.6 ,这表明该基因座在这个人群中的重要性。GWAS 或 WGS 提示的其他基因座包括日本人群中的SUDS3–SRRM4和FAM47E–SCARB2基因间区域;中国汉族人群中的GCH1、RHOBTB3–GLRX和CHODL ;以及韩国队列中的CHD2、CACNA1A和LRIG1 (表2)。
|
SNP |
位点定位 (hg38) | 最近的基因 | 次要等位基因 | 次要等位基因频率 |
| Japan | ||||
| rs4598682 | 11:121505242 | SORL1 a | G | 0.192 |
| rs1992269 | 18:1872316 | ENSG00000266602 | T | 0.018 |
| rs802571 | 7:146265094 | CNTNAP2 a,b | G | 0.029 |
| rs11613092 | 12:118455443 | SUDS3 | T | 0.1367 |
| rs920608 | 4:76217307 | FAM47E/SCARB2 | C | 0.044 |
| China | ||||
| rs72713460 | 14:54830325 | GCH1 | T | 0.134 |
| rs2591054 | 15:57320212 | LINC01413 | T | 0.246 |
| rs73052335 | 19:44916825 | APOC1/APOE | C | 0.092 |
| rs928771 | 21:38291838 | KCNJ15 | G | 0.154 |
| rs3777215 | 5:95786296 | RHOBTB3/GLRX | A | 0.168 |
| rs6859823 | 5:106218683 | ENSG00000252337 | T | 0.369 |
| rs234434 | 14:97354683 | LINC02325 | G | 0.237 |
| rs2255835 | 21:18119346 | CHODL | C | 0.321 |
| South Korea | ||||
| rs1890078 | 10:107218478 | SORCS1 | C | 0.064 |
| rs12594991 | 15:92973197 | CHD2 | A | 0.141 |
| rs189753894 | 19:13513675 | CACNA1A | A | 0.359 |
| rs2280575 | 3:66492439 | LRIG1 | G | 0.059 |
P值截止值≤10 −5表示位点提示具有全基因组显著性。GWAS,全基因组关联研究;hg38,基因组参考联盟人类参考37;MAF,次要等位基因频率;SNP,单核苷酸多态性;WGS,全基因组测序。
a.在非西班牙裔白人中也观察到了该基因座。
b.据报道, CNTNAP2的变异与西班牙个体的血管性痴呆有关174。
三个东亚祖先亚群体的疾病相关基因座显示出显著差异(见表2)。尽管部分差异可能与有限的样本量和统计能力有关,但汉族、日本人和韩国人群体在基因构成、等位基因频率以及连锁不平衡模式上均存在显著差异,这表明这些群体中可能存在祖先特异性的疾病相关变异。我们预计,随着更多大规模遗传学研究的开展,东亚人群中将发现更多变异和基因座。总的来说,这些数据进一步强调了在非欧洲人群中开展遗传学研究,以识别更加有效的、基于祖先的可用药靶点的重要性。
西亚和中东
在西亚和中东地区,已有多例早发性阿尔茨海默病(AD)的家族被发现,并且PSEN1和PSEN2突变与其相关。此外,观察到了一些表现出新表型的孟德尔式阿尔茨海默病(AD)。例如,在土耳其某个家族中的两个个体中,早发性阿尔茨海默病(AD)和痉挛性截瘫与PSEN1中的杂合剪接变异(c.869-1G>A)相关。在以色列的一个家族中,该家族有七代人出现认知能力下降或脑出血病史,相关个体被发现携带包含APP基因座的拷贝数变异(chr21:27,224,097-27,871,284)。此外,5号染色体上的另一个拷贝数变异与一些家族成员中的APP重复共同分离。在这个大家庭中,尽管某些携带者无症状,但他们在三十五岁时便开始出现认知能力下降。
在西亚和中东人群中,APOE ε4与阿尔茨海默病(AD)之间的关联性较强,尽管APOE等位基因的频率在不同地区有所不同,尤其是一些地区ε4等位基因的患病率较低。在埃及、伊朗、以色列、黎巴嫩、沙特阿拉伯和土耳其的队列和临床研究中,APOE ε4与阿尔茨海默病(AD)密切相关。在西亚和中东地区的家族性与散发性阿尔茨海默病(AD)研究中,多个已知的候选基因与阿尔茨海默病(AD)的关联性得到了验证,包括TREM2、SORL1、ABCA7、ACE、CD2AP、CLU和EPHA1。此外,PICALM中的保护性等位基因也被报道与阿尔茨海默病(AD)相关。尽管该地区的阿尔茨海默病(AD)大规模全基因组研究较少,但已知阿尔茨海默病(AD)基因中的常见变异的鉴定证明了该疾病的全球性。
(责任编辑:佳学基因)